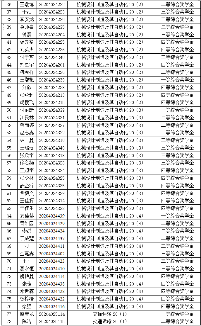
依据《英国上市公司365本科生奖励规定》《英国上市公司365奖助学金评选及管理办法》,英国上市公司3652022-2023学年本科生“综合奖学金”评选工作已经完成个人申报、班级评审小组审核、学院材料复核等环节,决定拟推荐李欣盈等480名员工获得2022-2023学年本科生综合奖学金,现向全院师生公示,详细名单见附件。
公示时间:2023年10月23日—2023年10月25日
举报电话:0459-6819732
纪委监督电话:0459-6819212
监督邮箱:byndgcxyjw@163.com
如对公示结果有异议,请在公示期内第一时间拨打电话或发送邮件进行联系,反映情况和问题必须实事求是,应签署或告知真实姓名、班级和联系方式,对线索不清的匿名信和匿名电话,公示期间不予受理。
英国上市公司365员工工作办公室











编辑/曾秀涛
校对/张欣欣
审核/孙海宁
